تاپسیس فازی:
نخستین بار چن (2000) در مقاله ای با عنوان بسط روش TOPSIS به تصمیم گیری گروهی در محیط فازی از تکنیک تاپسیس با رویکرد فازی استفاده کردهاند. برای انجام محاسبات تکنیک تاپسیس به صورت فازی نخست باید از یک طیف زبانی مناسب برای گردآوری دادهها استفاده کرد. چن (2000) یک مقیاس زبانی هفت درجه را برای امتیازدهی به هر گزینه براساس هر معیار، پیشنهاد میدهد. همچنین از ماتریس تصمیم میتوان برای رتبهبندی میزان اهمیت معیارها با تکنیکی مانند انتروپی نیز استفاده کرد، بنابراین چن طیف مشابهی برای رتبهبندی معیارها پیشنهاد کرده است.
شکل زیر مقیاس فازی را نشان می دهد:
مراحل تاپسیس فازی:
مرحله 1: ترسیم ماتریس تصمیم گیری

مرحله 2: نرمال نمودن ماتریس

مرحله 3: وزن دار کردن ماتریس
مرحله 4: الترناتیو ایده ال و ضد ایده ال
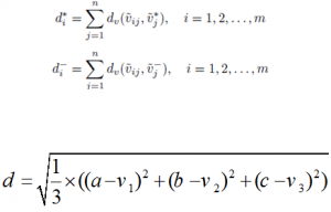
مرحله 5: محاسبه فاصله از الترناتیو ایده ال و ضد ایده ال
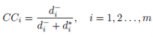
مرحله 6: محاسبه ضریب نزدیکی
جهت ثبت سفارش انجام فصل چهارم پایان نامه با استفاده از تکنیک تاپسیس فازی با نرم افزار متلب می توانید با شماره ها و آدرس ایمیل زیر در ارتباط باشید:
09120487321-09300657524
info@irstat.org
مهندس نازک تبار




