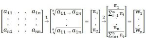
در روش فرایند تحلیل سلسله مراتبی، بعد از تشکیل ماتریس مقایسات زوجی، ابتدا میانگین هندسی هر یک از سطرهای ماتریس محاسبه می شود؛ سپس در مرحله دوم ماتریس ستونی حاصل با تقسیم هر یک از مؤلفه هایش بر مجموع مؤلفه های موجود نرمالیزه می گردد. ماتریس ستونی جدید حاصل شده همان ماتریس وزن شاخص های مسئله مورد نظر است. فرم ریاضی این روش را در رابطه زیر می توان مشاهده نمود.

